Porod akutní sekcí, jak se s tím vyrovnat?
Vím,že to bylo to jedinné správné pro záchranu a zdravý mého dítětě,nicméně vše mělo být jinak,císař mně neksutečně zaskočil a při vzpomínce na to jak jsem své posledné dítě přivedla na svět je mi čím dál hůř,vím že je brzy a že čas to asi zahojí,ale jak na to?co vám pomohlo,kdy to přebolelo??Děkuji
Možná nám jen pomůže se vypovídat,mám pocit že to nemám komu říct ☹
@leg Ahoj,díky za uklidnění a za ten manuálek se cviky budu ráda,už bych se zase ráda cítila dobře 😉
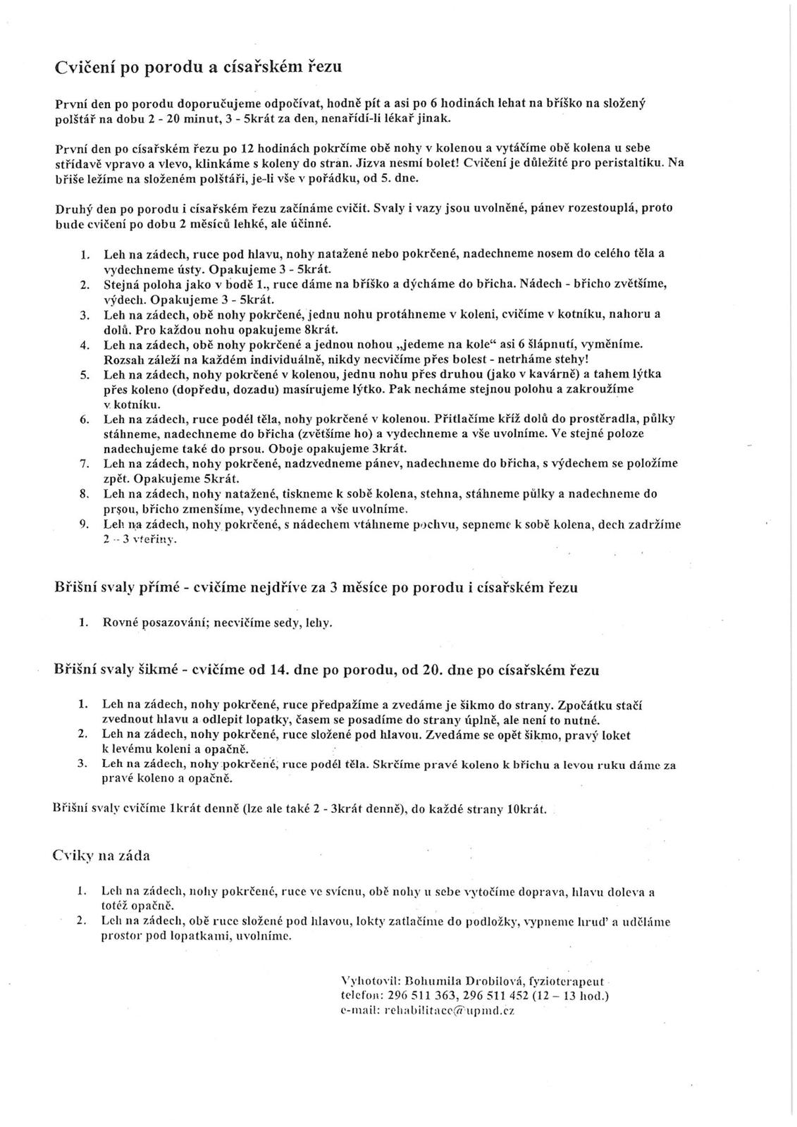
@saminomimino ahoj, tak snad to bude takhle trošku čitelný
@saminomimino sami mám sníženou funkci srdce, když beru prášky tak funguje normálně, jinak je tak o 10 % nižší. Blbý je že v těhu se prášky nesmí a při kojení taky ne. Být to na doktorovi, tak nemnám ani Pepína, ale já zkrátka svému tělu věřím. Už 2x mi dokázalo, že nemá-li na to z jakéhokoliv důvodu, tak těhotenství samo ukončí. Ale to že věřím své intuici bohužel doktorům nevysvětlím.
A k té jízvě, já musela asi tak tři dny vstávat předklonem, ale že by mě to pak nějak bolelo nebo tak, to ne. Jsem takovej cvok, že jsem si ani nebrala nic na bolest, protože z operace kolene jsem věděla, že po práškách na bolest mám rozhozenou psychiku - stačilo mi říct "hladká mouka" a já plakala,, a logicky jsem se chtěla v obou případech o miminko starat, tak jsem si radši nic nebrala. Motivace byla silná 🙂
Hojte, seznam cvičení je ok.....den po císaři přišla paní na pokoj ...postavila se ke stěně a řekla...budete dělat to a to a to............... viděla jsem ji jako v mlze. Po týdnu jsem zjistila, že to fakt nebyl sen...... potvrdila mi to spoluležící😀 Každopádně z cviků jsem měla okno.
Ahoj,
přidávám také můj zážitek... Rodila jsem v červnu v Motole v Praze. Po asi 18hodinách, kdy jsem se špatně otevírala jsem šla konečně na sál a že to zkusíme. Nechala jsem si píchnout epidurál. Tlačení bylo bez efektu, po tolika hodinách jsem byla už vyčerpaná, začala jsem i zvracet. Malá byla dle rozhovorů doktora a PA asi křivě a nešla ven. Otázka proč před porodem nedělají utz(?). Nakonec po 26hod od první kontrakce odvoz na akutní císař v celkové anestezii. Narodila se v 05:30.Malá se nadechla a pak přestala dýchat. Musela být 30 minut na ventilaci. Já odvezena na JIP a malá také. Z tohoto důvodu nemohla být ke mě dovezena a já dopravena k ní (dle vyjádření personálu). První kontakt mi zprostředkoval přítel přes fotografii...Byla mi poprvé donesena až druhý den večer!!! tudíž po 35hodinách od porodu. Neskutečný zmatek v hlavě, důvěřivost v personál /že prý budu za pár hodin na norm.pokoji a tam mi jí už dají, ale zatím nemají pro mě volné lůžko/. Doma jsem měla první měsíc deprese, smutek a výčitky, že to nešlo normálním porodem. Kdybych mohla vrátit čas, tak bych se v nemocnici již odbýt nenechala, žádné byrokratické čekání na lůžko. Dneska jsou jí 2,5 měs a láska k ní je větší a větší. Ale začátky byly krušné.
jen ještě dodávám, že následkem poruchy dýchání měla velmi nízké Apgar score: 3-5-6. Tak nyní řeším kontrolu u neurologa. Snad bude vše v pořádku.
@hanull tak také velice smutný start,hlavně že to malá zvládla,jen mně tedy zaráží že ti po tolika hodinách nepostupujícího porodu neudělali ani UZ,mně ho dělali hned jak se jim něco nezdálo a stejně podle něj jen zjistili že malá je jak má,až podle hmatu poznali že místo fontaneli nahmatali nos a to bylo špatně,jak se to od porodu vzdaluje myslím na to čím dál méně,ale někdy to na ně dolehne a je mi ouvej ☹ je to protě něco co nám vše v duši zůstane,tak ať je malá dobrá a vše je v pořádku 😉
ahoj, já šla na cs plánovaně ( i když nakonec akutně-uvolnilo se místo na sále tak šup tam se mnou). malý má 14 měsíců a stále jsem se s tím jaxi úplně nesmířila, stále je tam nějaké AU, to odloučení než mi ho na JIP donesli a pak musel na JIP on... je fakt tedy, že kvůli neprofesionálnímu chování porodníků a dlouhodobým problémům s matkou a nerozkojení se a všemu dohromady jsem pak po tomto spadla do poporodní deprese, ale to je jiné téma, s císařem jsem byla smířená naprosto. přirozený porod jsem nezažila a ani teď u druhého dítka nezažiji, beru to jak to je, ale ALE 😀 to odloučení asi... to nezkousnu... asi jsem moc neporadila, ale toť můj příběh.
Zdravím všechny, toto téma mě zaujalo... a taky mám problém smířit se s tím, myslela jsem, že jsem divná, že na SC myslím i jinak než jako na nutnost pro zdraví mého synka... ale vidím, že ne.
Já byla na PN proto, abych kvůli zkracujícímu se čípku neporodila dřív a nakonec jsem šla k indukci v 37+4 kvůli preeclampsii. Paradoxně přesto, že mi praskli vodu, zavedli ..prostaglandiny a kdoví co, neotevřela jsem se víc jak na dva cm a malý u začínal mít horší ozvy, tak mě řízli, syn se narodil v 18:10. Já byla v částečné anestezii, ale stejně jsem nebyla schopná vnímat, celé si to vybavuju jako v mlze, jak mi Ondráše ukázali, pak jsem spala celou noc jak zabitá, nebyla jsem schopna ani pořádně myslet a připustit si, co se stalo. Císařáku přikládám veškeré naše problémy s kojením a taky pár dalších věcí.
Před porodem jsem měla z císaře paniku, ale nějak jsem si neuměla představit, že..a jak budu rodit přirozeně, já vím, to asi nikdo, kdo má první dítě...ale jako by se mě to netýkalo. A taky že ne 😢
@majinka1981 ono cisarsky rez neni zase takova sranda, jak se to popisuje, pro laika asi jednoducha a bezbolestna moznost porodu, ale ja za tim bohuzel z praxe taky vidim spoustu komplikaci.. a rozhodnout se pro s.c. dobrovolne oproto klas. porodu nevidim jako stastnou volbu..
Tak to nevím, v čem si ten pojem vykládám špatně, ale já nebyla v celkové narkóze, věděla jsem o sobě, slyšela personál a pak mi ukázali malého. ...císař plánován nebyl, přistoupilo se k němu až po celodenní neúspěšné snaze o indukci porodu, když malému začla klesat tepová frekvence.. Dali mi vybrat, jestli chci celkovou nebo epidurál a dostala jsem to do páteřního kanálu.
@bolekat
@salomee no pak to je epiduralni nebo nekdy se voli spinalni anestezie, ale "castecna anestezie" neexistuje - jsem anesteziolog 🙂 a je to vzdycky lepsi volba, nez celkova, pokud je pro to casovy prostor u ak. sekce. ono to delaji hormony, stres, a pak nekdy davame po vybaveni mimca i neco na zklidneni maminy..
jo tak..🙂 díky za ozřejmení, já jsme tím chtěla vyjádřit to, že jsem nebyla úplně v limbu
... pamatuju si, jak někdo říkal..někomu, že mají 3 použité roušky, 7 čistých, celkem 10...a já v tom svém obluzení si vsugerovala, že si nějak takhle sdělujou Apgar skóre, aby neděsili maminy a z těch tří jsem byla dost hotová, měla jsem strach, co je s Ondrášem... ale ten měl naštěstí 9-10-10🙂.
Já mám zkušenost každy porod jiný a po pravdě,jsem ráda,že jsem ten druhý měla SC.U prvního mi byla SC doporučena kvůli velikosti syna a službu to nezajímalo,porod mi vyvolávali a skončila jsem nakonec potrhaná v celkové anest.na sále.J,jsem viděla až za 12 hodin jen díky hodné sestřičce mého gyn.která sloužila na odd.Nemohla jsem se pořádně hýbat,kojit se mi nedařilo a deprese jela..Nemohla jsem moc chodit ještě snad dva měsíce..Druhý porod byl akutní SC,malýho jsem viděla po 4 hodinách,pak mi ho pravda nosily po těch několika hodinách,ale druhý den jsme byli spolu a bez problémů.
Já bych k tomu napsala jenom toto. Podívejte se tady na koníku na témata o neplodnosti, potratech, různých nemocech a postiženích dětí nebo nejhůř jejich smrti a pak se zamyslete nad tím, jestli neřešíte blbosti. Prostě někomu není dáno porodit přirozeně, sama mám za sebou dva CŘ, tak vím, o čem mluvím. Člověk by měl být vždy vděčný za to, co má, což jsou krásné zdravé děti a neřešit to, co neměl a chtěl. Ale možná jsem necitelná, že mě to netrápí a že jsem jenom šťastná, že mám svoje kluky 😉
Já mám za sebou taky 2 sekce. První akutní, to byly fofry a druhá plánovaná. Já nejsem schopna porodit přirozeně šance že by jsme s mimčem byli oba v pořádku nebyla ani 50proc. Jsem ráda že mám 2 zdravé kluky a neřeším jestli to bylo sekcí. Jsou horší věci než sekce. Takže hlavu vzhůru🙂
@ivaanka samozřejmě máš pravdu, jsem šťastná, že CŘ existuje, kdoví, jak by to bylo.. ale bavíme se tady o svých pocitech..a taky se tady (na koníkovi celkově) řeší daleko míň důležitější věci. Prostě jsme chtěly pro naše děti to nejlepší, ten krásnej začátek, jakým je přirozený porod, když proběhne , jak má, ale nemohly jsme jim to dát, tak je nám to líto... ale určitě si všechny uvědomujeme, že dík tomu máme ty drobky u sebe, to jasné.
Tak jsem jen nakoukla, jak se ma @saminomimino a je to tu zase.
@ivaanka napsat nekomu, ze jeho trapeni je kravina, to je fakt pomoc 😝 . Kdyz ti pripada, ze holky resi kraviny, tak sem nechod, ta diskuse je o tom, aby ty, ktere to trapi, to spolu probraly a vzajemne se vypovidaly a pomohly si. Ja mam nemocne obe deti a necpu jim to , ze mam horsi starosti (rodila jsem obe detI normalne) nez ony. Vzdyt nikdy nevime, co vsechno trapi toho druheho, cim si prosel. Na tohle porovnavani trapeni uz jsem celkem alergicka, taky uz jsem si vyslechla, ze mam byt rada, ze moje deti maji to, co maji, ze zijou normalni zivot, mi rovnou neumrely apod. vetsinou od lidi, co deti nemaji nebo je maji zdrave, rodice nemocnych deti nam tohle nikdy nerekli. Nejsi necitelna, ale mas to proste jinak. Ani jedna by nevymenila normalni porod za zdravi svych deti, ale to je prece tak jasne, ze o tom snad proboha psat nemuseji... Nektery veci jsou tady furt dokola a nekterym prispevkum chybi trocha empatie 😉
ahoj holky...pokud muzu tak se taky pridam.Rodila jsem pred 3 tydny..do nemocnice jsem prisla s horeckou a zimnici a nakonec jsem rodila akutnim cisarem...v nemocnici i kdyz jsem byla nehorazne bolava tak se to dalo.po prichodu domu to ale vsechno zacalo...prisla na me deprese..porad jsem jen brecela..kvuli vsemu..hlavne kvuli tomu ze me vsechno boloi..jelikoz jsem uz poslednich par tydnu trpela krecemi bricha a ruznymi bolestmi v tehu..uz se mi ta bolest zdala proste moc dlouho..cekala jsem ze porodim normalne a vse bude jako predtim...nic tak neni!!!porad me vse boli...do toho jsem chytla takovou zacpu ze pri chozeni na zachod doslova brecim a mam takovy pocit ze se k tomu pridali hemeroidy..a co se tyce maleho?rodila jsem v 8.27 rano maleho jsem videla az odpol.jak mi ho prinesl manzel..ale pravda byla takova ze kdyz se me sestry ptaly jestli ho chci prinest driv tak jsem nechtela..doted mam takove stavy ze nejsem zahrnuto tou laskou co taky nektere maminy popisuji...proste to delam ze musim..u sve prvni dcery to bylo jine..a ted?ted bych nejradeji utekla... ☹ jsem hnusna a podrazdena na vsechny okolo...proste hnus..
@eficka To je právě ta smůla, že ani ty hormony nepracujou, jak by měly, když se těhotenství musí ukončit naráz a nepřirozeně. Je i potvrzené, že mámy po císaři vnímají péči o dítě jako daleko náročnější než kdyby rodily přirozeně. Já byla taky na mašli, ještě špatný kojení a s tím spojená příprava UM, nakojit a pak UM, byl to šílenej kolotoč a já se cítila dost ublížená, že to mám takto, láska k synkovi tam samozřejmě byla, ale ne taková ta mega všeobjímající a zaplavující. Teď už je to jiné.
@ivaanka Milá Ivanko, my samozřejmě za své děti rády jsme. Ale prostě když bereš porod jako tu nejpřirozenější věc v životě ženy a těšíš se na ni, tak jsi pak samozřejmě zklamaná, že to nedopadlo dle tvého přání. Některá může mít pocit selhání, některá zklamání, některá to neřeší. Každá jsme jiná a myslím, že nám, které prostě porod císařem nějak zasáhl, pomůže se tu vypovídat a vzájemně se podělit o své pocity, pro nás to blbost není. U mě se s tím nebylo schopné vypořádat ani tělo, už tři měsíce po narození dcerky jsem strašně toužila být znovu těhotná (což je po císaři samozřejmě nesmysl), protože mé tělo bylo prostě nejdřív těhotné a pak najednou operace a dítko u mně - ten proces porodu mu chyběl. Já skončila po císaři popálená, dcerka pořezaná, ale přežily jsme a ona je naprosto skvělé dítě, které mi za to stojí a moc si ji užívám. Ale prostě vím, že bych jednou chtěla normální porod prožít, pokud se poštěstí.
@jenny.kay Ahoj Jani, ty jo, věděla jsem, že jste to měly těžký, ale že vás takhle zrasili v porodnici obě, tak to jsem netušila 😖 Ale s těma chutěma být znovu těhotná se to neděje jen po CŘ, mě se to dělo taky (rychlý a bezproblémový porod, že mi Jarek musí občas připomínat, že jsem Jonáše opravdu vyrodila 😀 ). Teď momentálně je to tak, že jsem chtěla miminka po sobě co nejdřív to půjde (2 roky odstupu sourozenců se mi zdá dlouho). Možná jsem blázen, bude to peklo, ale ráda bych. No ale Jonáš a moje tělo nechce. Stále kojíme i několikrát v noci, měsíčky stále nedorazily ani po víc jak 8 měsících. Takže to musíme brát tak jak to je.
sama za sebe - byla jsem na císaři a bylo to uplně v pohodě a neumím si představit rodit normálně...malá byla KP a jsme ráda, že jsme byly obě vpořádku....malou jsme videla večer ve 20h a narodila se ráno v 10h, byla jsme v celkové....moc jsme se na ní těšiila, kojit mi šlo pozdeji, ale spíš mě vadila arogance dětských sester, podotýkám, že pouze kvůli nim jsem vážně uvažovala o tom, že kojit nebudu - ale řekla jsem si, že malá za ty kačeny nemůže a tak jsem je vypustila....ale chovaly se strašně - narážky na má prsa, že jsou sice hezký a pevný, ale k ničemu, že na kojení nejsou....že na kojení se hodí povolenější.....já jsem se svýma spokojená, celý život nosím kvalitní podprsenky právě proto, abych je neměla vytahaný u kolen.....a za další, mačkaly mi bradavku jak blázen, fakt to bolelo....rvaly doslova malé prso do pusy....myslela jsem, že ji zadusi.....tak jsem jim řekla, at me enchají a zkoušela to s ní sama a bylo to v pohodě.....uvařil mi partner čaj od lerosu a do rána jsem měla prsa o dve čísla větší a kojila v pohodě....
na jedné straně chápu, že chcete rodit normálně, ale na druhé je potřeba si uvědomit riziko pro vás i dítě a opravdu hlavně že jste zdravé....a není potřeba si dokazovat, že to zvládnu atd,...možná se na mě zlobíte, že to tak otevřeně píši, já si myslím, že je to všechno o tom, jak se k tomu žena postaví.....řeknou císaře - řeknu si ok, hlavně že jsme vpořádku, bude to dobré, zvládneme to a ono to pak opravdu zvládnete a to samé s normálním porodem - řeknu si ok, nedá se nic delat, zvládnu to...bude to dobré a ono to pak dobré je.....
jen pak když si nekdo nalajnuje, že bude rodit přirozene, najednou to je jinak, je z toho nebo muže z toho být nervozní....spousta žen má i pocit, že nezvládly roly ženy.....ale podle mě jsou na sebe moc tvrdé....
tak se držte, jste báječné mámy, at jste rodily tak či onak, způsob porodu nenasvědčuje o tom, zda své dítě milujete víc nebo mín....zda jste něco zvládly nebo nezvládly....zda jste dobrá máma nebo nejste......a podle mě to nemá vliv na vztah dítě a matka....je to prostě váš mazlínek.....a vždycky tu pro sebe navzájem budete......a důležité je, že se s miminekm navzájem máte....že jste oba vpořádku a třeba už doma..... 🙂
@jasekd já už to vzdávám,vždycky se najde někdo takový,prostě srovnávání a porovnávání lidského trápené je tu hit,víme že to nejde,každý má své trable a pro každého je to složité...
myslim, ze srovnani s nestestim a trapenim neni aktualni, spis bych rekla, ze resit porod sekci jako trauma je opravdu prkotina, protoze proste je to vykon, ktery indikoval lekar, vedel, co dela, a rozhodne by nenechal ohrozit vas nebo mimino. a ze jste pak horsi nebo lepsi, no to je zcestne, zpusob porodu nevypovida nic o materstvi a schopnosti byt dobrym rodicem.
naprosty souhlas s @ivaanka


@saminomimino ahoj, jsem taky cca 4 týdny po sekci a ty svaly cítím také. Prostě jak to vše fiknou, tak ty svaly se za tak krátkou dobu ještě nedaly dohromady a trvá jim to dýl. Já měla např. naprosto bloklou bederní páteř na jedné straně a pozvolným cvičením jsem to rozhýbala. 🙂)) Našla jsem super manuálek pro cvičení po porodu (resp. po císaři) a musím říct, že mi moc pomáhá. Jestli chceš, pošlu dál